Medio de las integrales podemos hallar volúmenes de sólidos de revolución, momentos o centros de masa.
Una varilla de 4 metros tiene una densidad p(x)=raiz de X kg/m a x metros de un extremo. Hallar el centro de masas de la varilla.
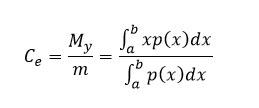
Considerar el centro de masas:

1 respuesta
Respuesta de albert buscapolos Ing°
1