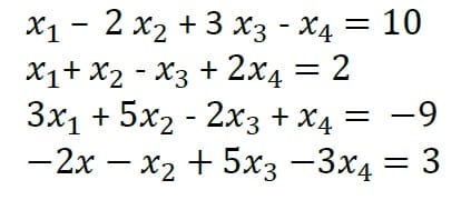
Este tipo de problemas son relativamente largos y es muy fácil equivocarse con un signo o una operación, así que te recomiendo que despacio pero seguro, sobretodo al principio.
Al ser largo te mando un foto de como lo he hecho yo.

Espero que se vea bien
El método consiste en operar linealmente por filas o por columnas ( normalmente por filas, como es el caso) hasta generar una matriz triangular superior, es decir un triángulo de ceros que dejen una simple igualdad, en este caso antes de llegar a ello ya me quedaba una ecuación desacoplada
Así que calcule x3 y de ahí vas metiendo los resultados en las anteriores.
En cada paso he escrito la operación que hecho, ej : f2=f2+f3 es que la fila 2 ahora será igual a la 2 más la 3.
Ten en cuenta que he reordenado las ecuaciones en la matriz al principio porqué me quedaba más cómodo.
Me imagino que sabes de manera general en que consiste el método así que no me entretengo más, cualquier duda me comentas sin problema.