Pregunta   en 
    Matemáticas
            
                y en 3  temas más
            
                
                    
            9y"+6y'+4y=0 resolver con P.V.I y(0)=3, y'(0)=4
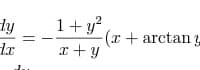
            9y"+6y'+4y=0 Find the general solution and app V. I Como resolver esta ecuación diferencial con estos valores iniciales
        
    
        
                    Pregunta   en 
    Matemáticas
            
                y en 3  temas más
            
                
                    
            Encontrar solución general de estas ecuaciones diferenciales
                    Pregunta   en 
    Matemáticas
            
                y en 3  temas más
            
                
                    
            Como encuentro la solución general de la siguiente ecuación diferencial?
            Y^4 + 2y^3 + 3y'' + 2y' + y = 0 Find the general solution of the differential equation
        
    
        
                Sin respuestas
    
            
        
                    Pregunta   en 
    Matemáticas
            
                y en 3  temas más
            
                
                    
            ¿Cómo se resuelve la siguiente ecuación diferencial?
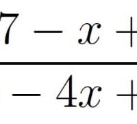
            Dy/dx= - (2y-x+7)/(3y-4x+18)
        
    
        
                    Pregunta   en 
    Matemáticas
            
                y en 2  temas más
            
                
                    
            ¿How do I for solve the next differential equation?
                    Pregunta   en 
    Matemáticas
            
                y en 3  temas más
            
                
                    
            ¿Cómo se empezaría a reescribir y resolver esta ecuación?
                    Pregunta   en 
    Cálculo
            
                y en 1  temas más
            
                
                    
            ¿Como se resuelve la siguiente ecuacion diferencial?
            (2r^2 cos theta sin theta + r cos theta)d theta + (4r + sin theta - 2r cos^2 theta)dr = 0
        
    
        
                    Pregunta   en 
    Matemáticas
            
                y en 3  temas más
            
                
                    
            ¿Cómo se resuelve esta ecuación diferencial?
        
                Sin respuestas
    
            
        
                    Pregunta   en 
    Matemáticas
            
                y en 3  temas más
            
                
                    
            ¿Como se hacen estas ecuaciones diferenciales de Bernoulli ?
                    Pregunta   en 
    Matemáticas
            
                y en 3  temas más
            
                
                    
            Demostración con ecuaciones diferenciales- ¿Resistencia proporcional al cuadrado de la velocidad?
            Imagine un cuerpo que se mueve horizontalmente a través de un medio cuya resistencia es proporcional al cuadrado de su velocidad, de modo que dv/dt = −kv^2 Determine La velocidad y intentar del cuerpo como función del tiempo
        
    
        