Encontrar solución general de estas ecuaciones diferenciales
Encontrar las soluciones generales de las siguientes ecuaciones diferenciales
d) y"+ y'+ y = sin x sin(3x)
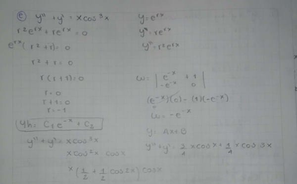
e) y"+ y' = x cos^3 x
1 respuesta
Respuesta de Alejandro Salazar
1






