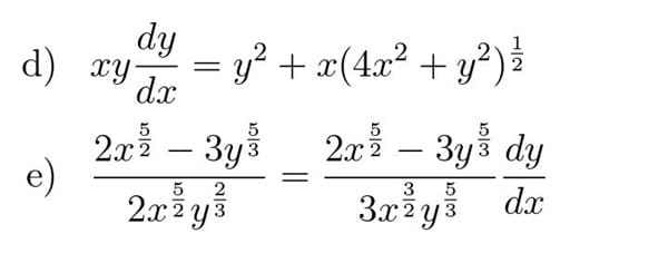
¿Como se hacen estas ecuaciones diferenciales de Bernoulli ?

Sé que la primera es de bernoullo pero la segunda creo que es por variables separables
1 Respuesta
Respuesta de Alejandro Salazar
1
