Valero Angel Serrano Mercadal

Valero Angel Serrano Mercadal

Me voy x tiempo. Necesito hacer otras cosas, descansar y que cambien algunas cosas.
 5.867K puntos  Aragón, España @valeroasm desde - visto

Respuestas en Matemáticas

Respuesta en y en 1 temas más a

Cómo se resuelve este problema de cilindros?

· · ¡Hola Miguel Angel! No es sencillo hacer el dibujo de esto y menos siendo tan estrecha la región. Te mando el dibujo a modo de ejemplo y tu lo mejoras si crees necesario. La región amarilla es la que va a girar alrededor del eje X y la figura que...
Respuesta en y en 1 temas más a

Calcula altura promedio de la caída libre

· · ¡Hola Anónimo! Esa pregunta ya la he contestado hace unos días: Calcular altura por medio de caída libre No olvides volver aquí para valorar la respuesta. Saludos. : :
Respuesta en a

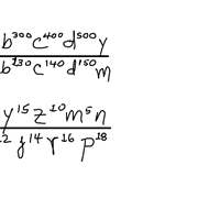
Tarea de matematicas divisiones de monomio entre monomio

· · ¡Hola Juan David! Los números se dividen dividiéndolos y las letras restando el exponente del denominador al del numerador: Y eso es todo, sa lu dos. : :
Respuesta en y en 2 temas más a

Proporciona una diferencia a partir de un ejemplo entre velocidad y rapidez

· · ¡Hola Chica! Esa pregunta ya la contesté, aquí está el enlace a la respuesta: Diferencia entre velocidad y rapidez Lo digo más que nada para que la cambies lo suficiente para que no vean dos respuestas iguales. Saludos. : :
Respuesta en y en 2 temas más a

Se sabe que la función de demanda para cierto producto es p=600- raizcuadrada q2+80 determinar el ingreso marginal para 8 unidad

· · ¡Hola Belén! Y eso es todo, no olvides valorar con Excelente las repuestas que te hemos dado, solo así podrás recibir otras. Sa lu dos. : :
Respuesta en a

Ana tiene 63 cm de alambre para hacer anillos iguales uso para cada uno 15 y 3/4 cm. ¿Cuántos anillos realizo?

· · ¡Hola Paola! La otra posibilidad es trabajar las operaciones de los números fraccionarios. Luego hizo 4 anillos. No olvides valorar las respuestas con Excelente si quieres recibir otras en el futuro. Saludos. : :
Respuesta en a

Movimiento uniforme acelerado y graficación, como expresar?

· · ¡Hola Anónimo! Esa pregunta ya la contesté hace unos días, esta es la respuesta: Velocidad, distancia y aceleración NO olvides volver para valorar la respuesta aquí. Sa lu dos. : :

Monto que recibirá la empresa

· · ¡Hola Jose Luis! Supongo que se referirán a interés compuesto, si no ya me lo dirás. En este caso no dan lo que ganó cuatrimestralmente, luego es la tasa efectiva cuatrimestral, para calcular la tasa efectiva bimestral hay que usar el método de...
Respuesta en y en 1 temas más a

Exponentes y Radicales, resolver estas ecuaciones...

· · ¡Hola Aisen! Yo resolveré el segundo pero el tercero ahí se quedará si no lo mandas en otra pregunta. Y eso es todo, saludos. : :
Respuesta en a

Realiza la siguiente operación empleando los conjuntos mostrados

· · ¡Hola Ume Lee! Imagino que el símbolo ^ quieres decir la intersección. Yo cuando no quiero buscar símbolos especiales uso la letra n. (Z - N) n (I - Q) U Q = Vemos primero que los la intersección entre los irracionales y lo racionales es el...