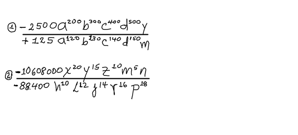
Tarea de matematicas divisiones de monomio entre monomio
Realizar las Siguientes DIVISIONES DE MONOMIO ENTRE MONOMIO...(CON TODOS LOS PASOS, ESCRIBIENDO LA DIVISIÓN RESUELTA)

3 respuestas
Respuesta
1
Respuesta de Valero Angel Serrano Mercadal
1
Respuesta de RyFootball .
