Valero Angel Serrano Mercadal

Valero Angel Serrano Mercadal

Me voy x tiempo. Necesito hacer otras cosas, descansar y que cambien algunas cosas.
 5.867K puntos  Aragón, España @valeroasm desde - visto

Respuestas en Cálculo

Respuesta en y en 1 temas más a

Soluciona las siguientes integrales paso a paso

· · ¡Hola Oscar! Se puede solucionar con un cambio de variable. Claro está, si la hemos hecho por cambio de variable no vamos ahora a desarrollar el paréntesis, para eso lo hubiéramos desarrollado antes de integrar quer era más sencillo y nos...
Respuesta en y en 3 temas más a

Un estudio realizado durante cierto tiempo del clima en una ciudad fue realizado a través de las siguientes mediciones

· · ¡Hola Iris! Esta es la gráfica: Es claramente una función seno más una constante. y = (A/2)·sen(f(x))+C Veamos la amplitud, valor maxímo menos valor mínimo 85-35 = 50 Luego A/2 = 25 y = 25 sen(f(x)) + C Su valor máximo es 85 luego debe suceder...
Respuesta en y en 1 temas más a

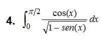
Calculo integral integrales impropias resolver

· · ¡Hola Oscar! Es una integral impropia porque en x=pi/2 el denominador se hace 0 Luego es convergente y vale 2. : :
Respuesta en y en 2 temas más a

¿Cómo se calcula la derivada de éste problema? ¿O cómo calculo la función?

· · ¡Hola Itzel! El enunciado es caótico, esto no tiene sentido "$500.00 el par ($100.00 y $400.00 variables)" Revisa el enunciado. Saludos : :
Respuesta en y en 1 temas más a

¿Como puedo obtener el valor precio que maximiza y el valor optimo de una función?

· · ¡Hola Jesús! Si está bien escrita la función en el enunciado entonces a ti te falta el signo - delante x^2, lo cual hará que la integral sea -(1/3)x^3 + (3/2)x^2 En la segunda parte también te flataría ese signo -. Revisa el enunciado, y si el...
Respuesta en y en 1 temas más a

Resolver paso a paso los siguientes limites

· · ¡Hola Rocío! : :
Respuesta en y en 1 temas más a

Resolver los siguientes ejercicios de limites

· · ¡Hola Rocío! Pensamos que una diferencia de cuadrados es cuando vemos a^2 - b^2 = (a+b)(a-b) Pero cuando vemos a-b eso también es una diferencia de cuadrados : .
Respuesta en y en 1 temas más a

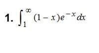
Integrales impropias resolver problema propuesto

· · ¡Hola Oscar! Esta función es continua en todo R, el único problema es que el límite de integración derecho es infinito. . .
Respuesta en y en 1 temas más a

Calculo integral ejercicios por resolver impropios

· · ¡Hola Oscar! La función no presenta ninguna discontinuidad luego podemos integrarla de una sola vez. Luego es convergente y vale Pi. : :
Respuesta en y en 1 temas más a

Una empresa a determinado sus costos variables y fijos, en donde x representa la cantidad en miles de artículos producidos.

· · ¡Hola Anónimo! Todo este problema parte de un contrasentido. Los costos fijos se llaman fijos porque no dependen de la cantidad x, son una un valor fijo CF = constante luego si nos dicen CF(x) = -x^2 - x + 3700 Están incurriendo en un error. Yo...