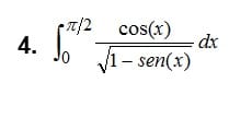
Calculo integral integrales impropias resolver

Buenos días por favor ayuda con esta integral si pueden resolver paso paso
1 respuesta
Respuesta de Valero Angel Serrano Mercadal
1