Preguntas esperando respuesta
Actividad pública reciente
Ha preguntado en el tema en
Ingeniería Industrial
y en 3 temas más
Ejercicios de Programación Lineal. Por el método simplex
Creaciones JONEPES recibe el encargo de elaborar tres tipos de tallas de uniformes para niña. Dispone para ello de 30 metros de lino a cuadros, 25 metros de dacron hilo blanco y 50 metros de micropins. En la talla 10 se gastan 60 cm de lino a...
Sin respuestas
Ha preguntado en el tema en
Matemáticas
y en 4 temas más
Problemas de programación lineal para desarrollar
Producción especial de mochilas para enfrentar la demanda de comienzo del ciclo Escolar, en especial piensa lanzar dos líneas: la "A' de mochilas clásicas, sin carro y sin dibujo y la "B" de mochilas con carro y con dibujos de personajes infantiles...
Sin respuestas
Ha preguntado en el tema en
Financiación y Créditos
y en 3 temas más
Desarrollar Tablas de interés simple y Tablas de interéscompuesto que den respuesta a los siguientesinterrogante.
¿Aplicando la tasa de interés anual simple del 11,5% de un crédito de $ 2.500.000.000 a 12 meses que le presta la entidad A, cual es el valor de los intereses que debe pagar la compañía ENRECOL S.A.S al término de los 12 meses?
Sin respuestas
Ha valorado "Excelente" la respuesta
Sabiendo que dos planos son ortogonales si sus vectores normales lo son también, determine si los siguientes planos son ortogona
Ha valorado "Excelente" la respuesta
Unidad: Rectas y plan Encuentre las ecuaciones paramétricas y simétricas de la recta que cumple con las condiciones
Ha valorado "Excelente" la respuesta
Unidad Rectas y planos en R3: Encuentre la ecuación del conjunto de todos los puntos de intersección de los dos planos
· · ¡Hola Rocio! El conjunto intersección de dos planos en el espacio es normalmente una recta, un plano si los dos son el mismo o nada si son paralelos. Lo que pasa es que una de las formas de representar la recta es a traves de dos planos, luego...
Ha valorado "Excelente" la respuesta
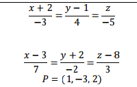
Ejercicio de álgebra lineal. Encuentre una recta L ortogonal a las dos rectas dadas y que pase a través del punto dado.
Ha valorado "Excelente" la respuesta
Sistema de ecuaciones lineales, ejercicio considere el sistema
· · ¡Hola Rocío! Es un sistema homogéneo, eso significa que siempre tendrá soluciones, ya sea la solución trivial (0,0,0) o un conjunto infinito de soluciones. Luego no necesitaremos comprobar si coinciden o no el rango de la matriz de coeficientes y...
Ha valorado "Excelente" la respuesta
