Ulises  Garcia

Ulises Garcia

Compromiso en cada una de mis acciones, para que cada uno de mis esfuerzos se conviertan en logros.
 Cancún, México @ulisesgarcia desde - visto
Preguntar

Preguntas esperando respuesta

Actividad pública reciente

Voto positivo a la respuesta

Como determino la función de elasticidad precio de la demanda

respondió: · La elasticidad precio de la demanda tiene esta fórmula: Luego la función elasticidad es constante vale -2 para todos los precios posibles, para el precio 5 también valdrá -2 El tipo de demanda es elástica, se llama asi cuando esta comprendida entre...
Voto positivo a la respuesta

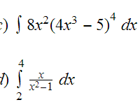
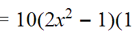
Me puedes apoyar para calcular un integral

respondió: · Es una integral que calcularemos directamente, multiplicando el integrando por constantes para que sea una derivada perfecta, y dividiendo fuera por lo mismo para que no se altere nada.
Ha valorado "Excelente" la respuesta

Determinar el equilibrio en un mercado

respondió: · 1) El precio de equilibrio es $120 La cantidad de equilibrio es 200 pizzas al día 2) Si el precio se situa es $145 es mayor que el precio de equilibrio. Entonces habrá un excedente de oferta porque algunos consumidores no querrán comprar a ese...
Ha preguntado en el tema en y en 2 temas más

Determinación de la demanda y oferta

Determinar la oferta y la demanda de algunos productos. Algún experto en economía que me pueda echar la mano con esta actividad
Sin respuestas
Ha valorado "Excelente" la respuesta

Calcular la elasticidad de la demanda.

respondió: Pues desarrollemos la fórmula entonces Como está entre -1 y 0, la demanda es Inelástica.
Ha valorado "Excelente" la respuesta

Realizar los siguientes limites en los 2 siguientes ejercicios.

respondió: · 1a) 1b) No pone a qué tiende la x · 2) Falta un paréntesis, supondré que es al final. Y eso es todo, si acaso pon el límite de 1b) aunque simplemente será susituir x y calcular.
Ha valorado "Excelente" la respuesta

¿Análisis Marginal (Determinar Funciones) como quedarían?

respondió: · Debes mandar cada parte en una pregunta distinta. Este es un trabajo que llevaría horas completarlo. Haré la primera parte y cada una de las otras las mandas en una pregunta. NO te faltarán respuestas, si no las respondo yo que ahora me voy las...
Ha valorado "Excelente" la respuesta

Para las funciones determina el límite indicado en cada una, realizando los procedimientos correspondientes.

respondió: · ¿Me puedes decir que graduado, diplomado o licenciado te ha dicho eso? Si la corrección se refiere al ejercicio que has puesto se le ha debido ir la olla, no encuentro otra explicación, no hay ningún infinito en la expresión esa, como no lo haya...
Ha valorado "Excelente" la respuesta

Determina la derivada de las siguiente función:

respondió: Yo también creo que es correcta.
Ha valorado "Excelente" la respuesta

Determinar el método de integración que corresponda en cada caso

respondió: · La primera es por cambio de variable. Aunque con un poquito de practica se podría haber resuelto directamenete con algún ajuste de constantes. Esta segunda se resuelva por cambio de variable. Y eso es todo.

Experiencia

Soy una persona muy amable, paciente, me encanta investigar e ir adquiriendo nuevos conocimientos, quizas mi unico defecto sea el guardarme las cosas reprimiendo situaciones que algunas veces provocan que de repente me enoje de la nada, me encanta conocer gente, hacer amigos, las historias de superacion me llenan y motivan para seguir adelante.

Trabajo

  • Agencia de Viajes
    Ventas , 2012 - actualidad

Educación

  • Escualea Abierta
    Preparatoria , 2000 - 2002