Ulises  Garcia

Ulises Garcia

Compromiso en cada una de mis acciones, para que cada uno de mis esfuerzos se conviertan en logros.
 Cancún, México @ulisesgarcia desde - visto
Preguntar

Preguntas

Pregunta en y en 2 temas más

Determinación de la demanda y oferta

Determinar la oferta y la demanda de algunos productos. Algún experto en economía que me pueda echar la mano con esta actividad
Sin respuestas
Pregunta en

Calcular la elasticidad de la demanda.

Calcular la elasticidad de la demanda. La cantidad demandada de pizza en la región oriente es de 830 unidades al mes a un precio de $110, el alza de los insumos para su elaboración aumentó, por lo que durante este período incrementaron sus precios a...
Pregunta en

Determinar el equilibrio en un mercado

Determina el punto de equilibrio en el siguiente mercado simulado de pizzas respondiendo a los cuestionamientos:
Pregunta en

Realizar los siguientes limites en los 2 siguientes ejercicios.

Necesito una vez más su ayuda con estos ejercicios, de antemano muchas gracias.
Pregunta en

Ejercicio Determinar la integral de las funciones

Determinar el método de integración que corresponda en cada caso. Ultima parte de una serie de ejercicios. M
Pregunta en

Determinar el método de integración que corresponda en cada caso

Determina la integral de las funciones siguientes he aquí una segunda parte de estos ejercicios.
Pregunta en

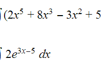
Determinar la integral de las funciones siguientes:

Determinar el método de integración que corresponda en cada caso
Pregunta en

Obtención de funciones a partir de las marginales

Tercera parte Su empresa adquirió una maquinaria que fabrica cierto producto. La venta del mismo genera un cierto ingreso, que conforme pasa el tiempo, su comportamiento es el siguiente:
Pregunta en

Calculo integral procedimientos para esta

Calcule las siguientes integrales: me echan la manita con esta.
Pregunta en

Determina la derivada de las siguiente función:

Alguien ya le ha dado respuesta a este ejercicio, he buscado resultados del mismo problema en la página, pero mi docente me hizo observaciones en el resultado. Esta es parte de la solución que se ha resuelto o es que al momento de llevarla a cabo me...

Suscríbete RSS