Determinar el método de integración que corresponda en cada caso

Determina la integral de las funciones siguientes he aquí una segunda parte de estos ejercicios.

1 respuesta

Respuesta
1

·

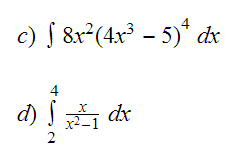
La primera es por cambio de variable.

$$\begin{align}&\int 8x^2(4x^3-5)^4dx=\\&\\&t=4x^3-5\\&dt=12x^2dx\implies x^2dx=\frac 1{12}dt\\&\\&=8\int \frac 1{12}t^4dt=\frac{8}{12}·\frac{t^5}{5}+C=\\&\\&\frac 2{15}(4x^3-5)^5+C\end{align}$$

Aunque con un poquito de practica se podría haber resuelto directamenete con algún ajuste de constantes.

Esta segunda se resuelva por cambio de variable.

$$\begin{align}&\int_2^4 \frac{x\,dx}{x^2-1}  =\\&\\&t=x^2-1\\&dt=2x\,dx\implies x\,dx=\frac 12 dt\\&x=2\implies t=2^2-1=3\\&x=4\implies t=4^2-1=15\\&\\&\int_3^{15}\frac 1t·\frac 12\;dt=\frac 12\int_3^{15}\frac {dt}t=\\&\\&\left.\frac 12ln|t|  \right|_3^{15}=\frac 12(ln15-ln3)=\\&\\&\frac 12ln\left(\frac{15}{3}  \right)= \frac 12ln5=ln5^{1/2}=ln \sqrt 5\\&\\&\end{align}$$

Y eso es todo.

Añade tu respuesta

Haz clic para o

Más respuestas relacionadas