Preguntas esperando respuesta
Actividad pública reciente
Ha respondido en
Matemáticas
Media de la distribución de la cantidad de grupos de igual número de elementos repetidos en una distribución binómica B(n,0.5)
Era incorrecto el enunciado la fórmula verdadera es:
Ha respondido en
Matemáticas
y en 2 temas más
Duda en teoría de conjuntos
El Ø es un conjunto. Luego hay que decir: Ø ⊂ A Si el conjunto fuera un conjunto de subconjuntos, tal como los llamados conjuntos potencia o partes de un conjunto, entonces si que se podría escribir lo primero: P(A)= {Ø, {a}, {b}, {c}, {a, b}, {a,...
Ha respondido en
Matemáticas
¿Calcula el resultado de esta tarea, paso a paso?
Ha preguntado en el tema en
Matemáticas
¿Por qué la raíz 2^59 de por elevada a la 2^59 es 1?
Ha preguntado en el tema en
Matemáticas
Media de la cantidad de grupos de números repetidos en una binomial B(n, 0.5)
Dada una distribución binónica (binomial para los anglosajones), anotamos las ocurrencias en orden. En esta B(16, 0.5) salió esto: 0010110111010011 Separamos los grupos de digitos seguidos iguales 00 | 1 | 0 | 11 | 0 | 111 | 0 | 1 | 00 | 11 Se han...
Sin respuestas
Ha respondido en
Matemáticas
y en 1 temas más
Como se resuelve esta ecuación diferencial separando variables
Para y'=sen(x+y)-1 debes hacer el cambio u=x+y u' =1 +y' y'=u'-1 con lo cual queda u'-1=senu -1 u'=senu du/dx = senu du/senu = dx La integral izquierda es complicada de explicar cómo se hace, damos por hecho que se considera inmediata y que es:...
Ha respondido en
Matemáticas
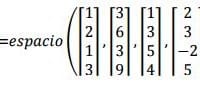
¿Cómo debo resolver este SEL ?
Ha respondido en
Matemáticas
• Supón que el castellano tiene exactamente 290 000 palabras distintas.
· · ¡Hola Ignacio! La cantidad de palabras que se pueden formar con m letras tomadas de n en n es variaciones con repetición de m tomadas de n en e VR(m,n) = m^n Aunque algunas serán impronunciables. En el problema no conocemos el número de letras,...
Ha respondido en
Matemáticas
Problema de matemáticas discretas. Indica cuál de las siguientes IP
· · ¡Hola Yani! Solo es correcta la primera. Cada número debe estar comprendido entre 0 y 255, eso lo cumple la primera. Pero la segunda no porque tiene un 379 y la tercera tampoco porque tiene un 275. Y eso es todo, sa lu dos _ _
Ha respondido en
Matemáticas
Dudas de estadistica descriptiva e inferencial
· · ¡Hola Brandon! Es un ejercicio de probabilidad condicionada, hay que hallar la probabilidad de que el fabricante sea Sneider condicionado a que salió defectuoso. Usaremos la fórmula de la probabilidad condicionada. · Problema 2. Son las...
Ha respondido en
Matemáticas
Resolución de un ejercicio de congruencias:
· · ¡Hola Iván! La solución será única cuando a y 117 sean coprimos. Luego debemos calcular la cantidad de números coprimos con 117, esto es la función de Euler de 117. Descomponemos 117 en factores primos: 117 | 3 39 | 3 13|13 1 Luego 117= 3^2·13...
Ha respondido en
Matemáticas
Considera el siguiente subespacio de ℝ4...
Ha añadido un comentario en una respuesta de la pregunta
Como puedo calcular el valor exacto de las funciones trigonométricas
Hay algunos ángulos de los que se conoce la expresión exacta del seno y el coseno 0º, 30º, 45º, 60º, 90º son algunos de ellos, simplemente hay que conocerlos y hacer las operaciones. Y eso es todo, espero que te sirva y lo hayas entendido. Si no es...
Ha respondido en
Matemáticas
y en 2 temas más






Integrales convergentes o divergentes