Considera el siguiente subespacio de ℝ4...

Espacios Vectoriales

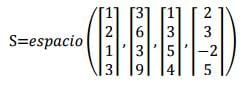
Considera el siguiente subespacio de ℝ4

Encuentra una base para S.

Respuesta
1

·

·

¡Hola Ume!

Si los cuatro vectores fueran linealmente independientes serían una base porque 4 no supera a la dimensión de R4

Pero a simple vista se ve que el cuarto vector es el segundo menos el tercero

3-1=2

6-3=3

3-5=-2

9-4=5

Así que como mucho será de dimensión 3, ya podemos eliminar el tercer vector y seguir haciendo operaciones de columna para ver si eliminamos otro vector o damos con una base más simplificada. Al segundo le restaremos tres veces el primero y al tercero el primero

1   0   0

2   0   1

1   0   4

3   0   1

Esto si que es gordo, me di cuenta de vista que el cuarto era segundo menos tercero y no me di cuenta que el segundo era tres veces el primero.

Pues al final quedan solo dos vectores independientes y esos serán la base.

B = {(1,2,1,3) , (0,1,4,1)}

Y eso es todo, saludos.

:

.

Añade tu respuesta

Haz clic para o

Más respuestas relacionadas