Sophia Isabelle Chloe

Sophia Isabelle Chloe

 1.665 puntos  México @sophiaisabellechloe desde - visto
Preguntar

Preguntas

Pregunta en

Se tiene el valor de los vértices y las coordenadas de uno de los focos

Vértices en(-2.3) y (6,3),.un foco en (7,3). No he podido entender el ejercicio, ya que solo se conoce el valor de una foco
Pregunta en

Determine la ecuación de la hipérbola que satisfacenlas condiciones dadas.

Las condiciones son ... Vertices en (3,-6) (3,6) y focos en (3,-10) (3,10)
Pregunta en

Que representa la siguiente ecuación

A) Dos rectas que se intersectan B) Una elipse con centro en (-2, 3). C) Una parabola con vertice en el origen. D) Una hipérbola con centro en (-2,3).
Pregunta en

¿Cuándo se refiere a distancia de eje focal es a 2c?

Cual es la longitud del eje focal de la hiiperbola cuya ecuación es
Pregunta en

Como hallar las coordenadas de los focos de la hyperbola si su ecuación es

A) (1,-5) , (-23,-5) b) (-7,-5),(23,-5) c) (-5, -7), (-5, 23) d) (-5, 7) , (-5, -23)
Pregunta en

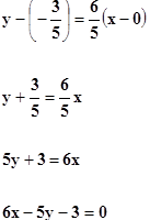
Cual es la equation de la recta si

El punto_1 ( 1/2, 0) y punto_2 (0, -3/5).