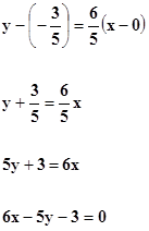
Cual es la equation de la recta si
- el punto_1 ( 1/2, 0) y punto_2 (0, -3/5).
2 respuestas
Respuesta de Luis Alberto Candio Salcedo
2
Respuesta de Lucas m
1


