Sophia Isabelle Chloe

Sophia Isabelle Chloe

 1.665 puntos  México @sophiaisabellechloe desde - visto
Preguntar

Preguntas

Pregunta en

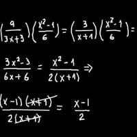
¿El dominio de una function no es lo mismo que el conjunto solución o el intervalo?

Estoy confundida, estaba meditando en este ejercicio, "el dominio de la función es?" y al resolver la igualdad segun yo, el conjunto, intervalo del dominio queda de la siguiente manera, pero no, veo que el resultado es ya estoy completamente confundida :(
Pregunta en y en 1 temas más

Como se determina en este caso, si una function creciente o decreciente

Se que se puede hacer a través de la primera derivada igualada a cero, para hallar puntos critics o valores, pero en estos dos casos, ¿Cómo seria? Determinar si la función es creciente determinar si la funcion siguiente es decreciente me pregunto si...
Pregunta en y en 1 temas más

Sistema de ecuaciones con tres incógnitos

El valor de x en el sistema, ¿Es? , ¿Este sistema se puede desarrollar a través del método de suma-resta? A)2 B) -2 C) -1 D) 1
Pregunta en

Al resolver el sistema de ecuaciones se obtiene

El valor para y es A) y=2 B) y=3 C) y=-2 D) y=-1 E) y=1
Pregunta en

Si se le dan valores a la equation siguiente se obtiene

Y=2x+3 se obtiene una function A) Constante B) Lineal C) Creciente D) Decreciente E) Exponencial
Pregunta en

Racionalizar cuando se tiene un denominador binomio

Si es de la forma entonces se multiplica por su conjugado que es ?