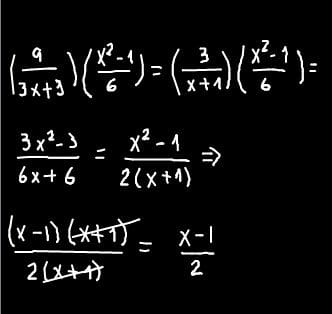
Al multiplicar fracciones de obtiene
$$\begin{align}&multiplicar \ \ \ \ ({9\over3x+3})({x^2-1\over6})\end{align}$$
2 Respuestas
Respuesta de Lucas m
2
Respuesta de Llaq Kmg
1
