Sistema de ecuaciones con tres incógnitos
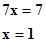
El valor de x en el sistema, ¿es?
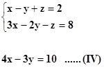
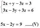
$$\begin{cases}
2x+y-3z=3 \\
\ \ x-y+z=2 \\
3x-2y-z=8
\end{cases}$$,
¿Este sistema se puede desarrollar a través del método de suma-resta?
A)2 B) -2 C) -1 D) 1
1 respuesta
Respuesta de Luis Alberto Candio Salcedo
1



