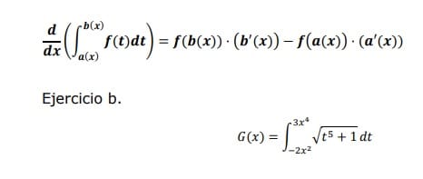
Los ejercicios seleccionados derivando G′(?) de las siguientesfunciones. Aplicar el siguiente Teorema de integración en cada

Espero me puedan ayudar con este ejercicios quedo atento a sus respuestas

Espero me puedan ayudar con este ejercicios quedo atento a sus respuestas