Pregunta en
Ingeniería Informática
y en 1 temas más
PROBLEMA: Utilizando la estructura selectiva doble, realizar un algoritmo y diagrama de flujo
Sin respuestas
Pregunta en
Bachilleratos
y en 1 temas más
PROBLEMA: Algoritmo que sirve para conocer el peso en libras de un oso polar, su longitud en pies
Sin respuestas
Pregunta en
Ingeniería Informática
y en 1 temas más
Problema: utilizando la estructura múltiple o de caso,
Realizar un algoritmo en donde con relación a un número entero expresar el nombre del mes del año al que pertenezca.
Sin respuestas
Pregunta en
Tecnología e Internet
y en 4 temas más
Investigar, analizar y completar la tabla con base a los conceptos de las habilidades cognoscitivas.
Sin respuestas
Pregunta en
Matemáticas
¿Cuánto cuesta la entrada de 2 niños y 2 adultos?
En una entrada de teatro, dos entradas de adultos y 3 de niño cuestan $290.00, 5 entradas de niño y 4 de adulto cuestan $530.00 ¿Cuánto cuesta la entrada de 2 niños y 2 adultos?
Pregunta en
Matemáticas
y en 1 temas más
¿ Cual expresión muestra la variación del radio r, con respecto a la altura h?
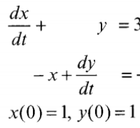
Pregunta en
Matemáticas
y en 1 temas más
Con la transformada de Laplace, resolver el ejercicio del sistema de ecuaciones diferenciales
Sin respuestas
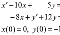
Pregunta en
Matemáticas
y en 1 temas más
Paso a paso, sistema de ecuaciones diferenciales con transformada de Laplace
Sin respuestas
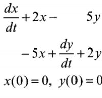
Pregunta en
Matemáticas
y en 1 temas más
¿Como resolver este ejercicio de sistema de ecuaciones diferenciales?
Pregunta en
Matemáticas
y en 3 temas más
