¿Como resolver este ejercicio de sistema de ecuaciones diferenciales con la transformada de Laplace?

1 respuesta

Respuesta
1

Voy a asumir que conoces las transformaciones, o que tienes alguna tabla con ellas

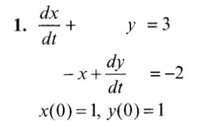
$$\begin{align}&(i) \ sX(s)-x(0)+Y(s)=\frac{3}{s}\\& sX(s)+Y(s)=\frac{3}{s}+1\\&\\&\\&(ii)\ \ \ -X(s)+sY(s)-y(0)=\frac{-2}{s}\\&-X(s)+sY(s)=\frac{-2}{s}+1\\&Sumando \frac{1}{s} Ec_1+Ec_2\\&\\&\frac{s^2+1}{s}Y(s)=\frac{3+s}{s^2}+\frac{-2+s}{s}\\&(s^2+1)Y(s)=\frac{3+s}{s}-2+s\\&(s^2+1)Y(s)=\frac{s^2-s+3}{s}\\&Y(s)=\frac{s^2-s+3}{s(s^2+1)}\\&Fracciones \ parciales\\&Y(s)=\frac{-2s-1}{s^2+1}+\frac{3}{s}\\&Y(s)=-2 \frac{s}{s^2+1}-\frac{1}{s^2+1}+\frac{3}{s}\\&y(t)=-2 \cos t- \sin t +3\end{align}$$

Ya tenemos y, viendo la primera ecuacion, tenemos que 

$$\begin{align}&x'+y=3\\&x'=3-y\\&x'=3-(-2 \cos t - \sin t +3)\\&x(t)= \int 2 \cos t + \sin t \ dt \\&x(t)=2 \sin t - \cos t+c\\&x(0)=1=-1+c\\&c=2\\&c(t)=2 \sin t - \cos t+2\end{align}$$

Añade tu respuesta

Haz clic para o

Más respuestas relacionadas