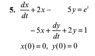
MatemáticasCálculo Juan Delgado el 18 abr. 19 Paso a paso, sistema de ecuaciones diferenciales con transformada de Laplace Con su explicación. Seguir Siguiendo Dejar de seguir