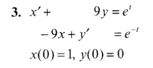
¿Como resolver este ejercicio de sistema de ecuaciones diferenciales?

Con la transformada de Laplace.     

1 respuesta

Respuesta
1

Como mencioné en otro tema de un compañero tuyo, voy a asumir que conoces las transformadas

$$\begin{align}&(i)x'+9y=e^t\\&(ii)-9x+y'=e^{-t}\\&\\&(i)sX(s)-x(0)+9Y(s)=\frac{1}{s-1}\\&sX(s)-1+9Y(s)=\frac{1}{s-1}\\&(ii)-9X(s)+sY(s)-y(0)=\frac{1}{s+1}\\&-9X(s)+sY(s)-0=\frac{1}{s+1}\\&\\&\frac{9}{s}Ec_i+Ec_{ii}\\&\\&-\frac{9}{s}+(\frac{81+s^2}{s})Y(s)=\frac{9}{s(s-1)}+\frac{1}{s+1}\\&(\frac{81+s^2}{s})Y(s)=\frac{9}{s(s-1)}+\frac{1}{s+1}+\frac{9}{s}\\&(81+s^2)Y(s)=\frac{9}{s-1}+\frac{s}{s+1}+9\\&(81+s^2)Y(s)=\frac{9s+9+s^2-s+9s^2-9}{(s+1)(s-1)}\\&(81+s^2)Y(s)=\frac{10s^2+8s}{(s+1)(s-1)}\\&Y(s)=\frac{10s^2+8s}{(s+1)(s-1)(81+s^2)}\\&fracciones \ parciales\\&Y(s)=\frac{405-4s}{41\left(s^2+81\right)}+\frac{9}{82\left(s-1\right)}-\frac{1}{82\left(s+1\right)}\\&Y(s)=\frac{45}{41}\frac{9}{(s^2+81)}-\frac{4}{45}\frac{s}{s^2+81}+\frac{9}{82}\frac{1}{s-1}-\frac{1}{82}\frac{1}{s+1}\\&y(t)=\frac{45}{41} \sin 9t-\frac{4}{45}\cos 9t+\frac{9}{82}e^t-\frac{1}{82}e^{-t}\\&\\&Sustituyendo \ en \ 1\\&x'+\frac{405}{41} \sin 9t-\frac{4}{5}\cos 9t+\frac{81}{82}e^t-\frac{9}{82}e^{-t}=e^t\\&x'=-\frac{405}{41} \sin 9t+\frac{4}{5}\cos 9t+\frac{1}{82}e^t+\frac{9}{82}e^{-t}\\&x=\int -\frac{405}{41} \sin 9t+\frac{4}{5}\cos 9t+\frac{1}{82}e^t+\frac{9}{82}e^{-t} \, dt\\&x(t)=\frac{65}{369}\cos 9t+\frac{4}{45} \sin 9t+\frac{1}{82}e^t-\frac{9}{82}e^{-t}+C\\&x(0)=1=\frac{65}{369}+\frac{1}{82}-\frac{9}{82}+C\\&C=\frac{340}{369}\\&x(t)=\frac{65}{369}\cos 9t+\frac{4}{45} \sin 9t+\frac{1}{82}e^t-\frac{9}{82}e^{-t}+\frac{340}{369}\\&\end{align}$$

Las fracciones parciales si quieres revisala tu, yo busqué el resultado en internet porque es muy tedioso y no es el punto de la pregunta

Añade tu respuesta

Haz clic para o

Más respuestas relacionadas