Pregunta en
Matemáticas
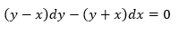
Resuelva lo siguiente mediante la solución de ecuaciones diferenciales lineales homogéneas
Pregunta en
Física
y en 3 temas más
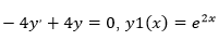
¿Como resolver este problema de principio de superposición?
Pregunta en
Matemáticas
y en 1 temas más
¿Como se hace este ejercicio de funciones vectoriales?
Sin respuestas
Pregunta en
Matemáticas
y en 2 temas más
¿Como resolver este ejercicio de calculo vectorial?
Pregunta en
Física
y en 3 temas más
¿Cómo obtener la resultante de las siguientes fuerzas coplanares?
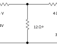
A) Resultante 1 - F1 = 10 , θ = 45 - F2 = 5 , θ = 155 - F3 = 12 , θ = 200 - F4 = 15, θ = -20 b) Resultante 2 - F1 = 10 , θ = 0 - F2 = 8 , θ = 90 - F3 = 7, θ = 170 - F4 = 7 , θ = 190 - F4 = 8 , θ = 230
Pregunta en
Matemáticas
y en 3 temas más
¿Cómo convertir las siguientes fuerzas a su representación rectangular?
A) M = 60kg, θ = 60 b) M = 32kg, θ = 25 c) M = 90kg, θ = -25 d) M = 10kg, θ = 400 e) M = 5kg, θ = -100
Pregunta en
Matemáticas
y en 1 temas más
¿Como resolver estos ejercicios de muestreo de probabilidad?
POISSON 1. La materia prima de cierto proceso se estudia para determinar la contaminación presente en ella. Supóngase que el número de partículas contaminadas por libra de material es una variable aleatoria Poisson con una media de 0.18 partículas...
Sin respuestas
