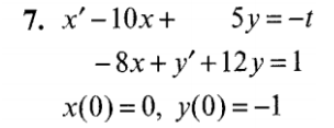
MatemáticasCálculo Juan Delgado el 18 abr. 19 Con la transformada de Laplace, resolver el ejercicio del sistema de ecuaciones diferenciales Con su explicación paso a paso. Seguir Siguiendo Dejar de seguir