Pregunta en
Matemáticas
Determinar cuál es la base del siguiente número y cuyo equivalente decimal es el indicado.
Pregunta en
Matemáticas
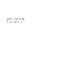
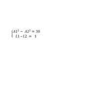
Resolver la siguiente expresión correspondiente a operaciones entre matrices
Pregunta en
Matemáticas
Averiguar cuál es la base del siguiente número .
Pregunta en
Matemáticas
Problema de Temperatura de dos termómetros, uno en escala Celsius y el otro en Reaumer.
El problema dice lo siguiente: Dos Termómetros, uno Celsius y el otro Reáumer, se sumergen en una vasija con agua y que la suma de los dos termómetros es igual 60º. Se sabe que los grados Centígrados y Reáumer están en relación 5/4.¿ Hallar cuantos...
Pregunta en
Microsoft Excel
Necesito me orienten como agregar Apellido en celdas distintas con Indice y Coincidir.
Estimados amigos del foro, he realizado una planilla en excel como ejercicio practico, sobre las notas de alumnos en distintas materias. La planilla funciona bien, Busco con Nº de Documento, Asignatura y Nota. Pero yo quiero que que el Apellido del...
Pregunta en
Matemáticas
Problema de ecuación para calcular Largo y Ancho de una bobina de papel.
Pregunta en
Matemáticas
Calcular diferencia de áreas de dos cuadrados y sus lados.
Pregunta en
Matemáticas
Dada el área y la diagonal de un triángulo rectángulo, calcular catetos
Pregunta en
Matemáticas
Dividir un triángulo rectángulo por una recta vertical y que sus áreas sean iguales.
Pregunta en
Matemáticas
Triángulo rectángulo de lados enteros,conociendo área de la misma medida que el perímetro.
El problema dice lo siguiente : El Perímetro de un triángulo rectángulo mide 30 m y área 30 m2. ¿Calcular la longitud de los catetos ¿ Los datos que me da es que dice que el sistema :, esto seria el área,(1). Y la otra formula que me da es, esto...
