Calcular diferencia de áreas de dos cuadrados y sus lados.
Amigos del foro necesito me orienten sobre el siguiente problema :
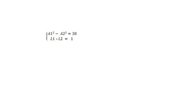
La diferencia de las áreas de dos cuadrados es = 38 m y la de sus lados 1 m.
¿Cuánto valen cada uno de sus lados?
A mi me parece que esto es un sistema ecuación con dos incógnitas, y lo trato de resolver de esta forma.
A1 = Área Cuadrado 1 L1 = Lado 1 del cuadrado 1
A2 = Área cuadrado 2 L2 = Lado 2 del cuadrado 2
y el sistema para mi seria el siguiente:

2 respuestas
Respuesta de Lucas m
1
Respuesta de Valero Angel Serrano Mercadal
1