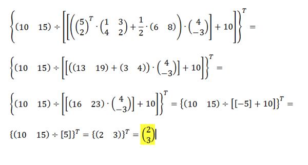
Resolver la siguiente expresión correspondiente a operaciones entre matrices
Estimados amigos del Foro, la pregunta es la siguiente : ¿Cómo resolver la siguiente expresión correspondiente a operaciones entre Matrices?
Para lo cual inserto el problema escaneado, y espero ayuda de como resolverlo.
Gracias.

1 respuesta
Respuesta
1

