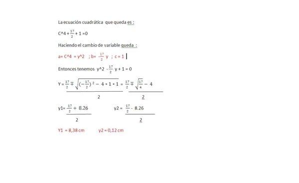
Dada el área y la diagonal de un triángulo rectángulo, calcular catetos
Amigos del foro quiero me revisen el siguiente ejercicio, hasta donde lo hice
Para saber si es correcto como lo he planteado.

2 respuestas
Respuesta
1
Respuesta de Valero Angel Serrano Mercadal
1


