camilo a castellanos

camilo a castellanos

la contraseña de la vida es el esfuerzo
 700 puntos  Colombia @fabianariza desde - visto
Preguntar

Preguntas

Pregunta en y en 2 temas más

Graficar el termino determinando si la progresión es aritmética o geométrica

Agradezco su colaboración graficando el termino y determinando el tipo de progresión con los pasos propuestos.
Pregunta en y en 3 temas más

Planteamiento a problema de progresiones aritméticas y geométricas

Agradezco su colaboración con la solución del siguiente problema
Pregunta en y en 3 temas más

Solución a problema de progresiones aritméticas y geométricas

Agradezco su colaboración con la solución de el problema planteado de progresiones aritméticas y geométricas.
Pregunta en y en 2 temas más

Determinar si la sucesión es monótona y si converge o diverge

Agradezco su colaboración con la siguiente sucesión indicando si es monótona y si converge o diverge
Pregunta en y en 1 temas más

En la sucesión determinar la cota y/o superior

Agradezco su colaboración para determinar la cota inferior y/o superior de la sucesión
Pregunta en y en 1 temas más

Hallar la solución para el siguiente circuito

Agradezco su colaboración para hallar los siguientes valores con sus respectivos pasos. Resistencia Total.Corriente total (A).Caída de voltaje en cada una de las resistencias del circuito.Corriente que circula por cada una de las...
Pregunta en

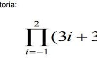
Calcular la productoria, tirgonometria ejercicio

Agradezco su colaboración con la solución del siguiente productoria en trigonometría
Pregunta en

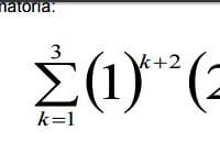
Calcular la siguiente sumatoria: ejercicio de trigonometría

Agradezco su ayuda con la solución del siguiente ejercicio Calcular la siguiente sumatoria
Pregunta en

Hallar la ecuación de la recta i que es perpendicular a la recta 3x–2y+6=0 y pasa por el punto donde la recta 5x+4y=-8 corta a Y

Agradezco la colaboración con la solución del siguiente ejercicio Hallar la ecuación de la recta l que es perpendicular a la recta 3x – 2y + 6 = 0 y pasa por el punto donde la recta 5x + 4y = - 8 corta el eje y.
Pregunta en

Demostrar que la ecuación representa una parábola. Determine: vértice, foco y directriz

Agradezco su ayuda con la solución de este ejercicio: Demostrar que la ecuación representa una parábola. Determine: vértice, foco y directriz