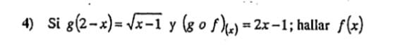
Como resolver el siguiente ejercicio, hallar f(x)

Me pueden ayudar a encontrar f(x) del siguiente ejercicio
1 respuesta
Respuesta de Alejandro Salazar
2

responde mi pregunta - Emily Holguin Mayeza