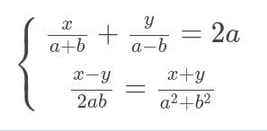
Como resolver el siguiente ejercicio de sistema de ecuaciones
Me podrían ayudar de como resolver el siguiente ejercicio de sistema de ecuaciones.

1 respuesta
Respuesta
2
