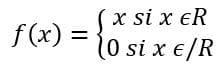
Dada la función Mostrar que f(x) es continua en x0=0
Dada la función
mostrar que f(x) es continua en x0=0
Me lo encargaron en la escuela, pero no sé cómo demostrarlo.
1 respuesta
Respuesta de Norberto Pesce
1

Pero ¿qué es /R? ¿qué es R, será el conjunto de los número reales o algún otroconjunto? - Karl Mat
En la demostración no haces mención del otro conjunto. - Karl Mat
La misma duda me surgió y pensé en no contestar y esperar a otra respuesta,, pero luego supuse que probablemente se tratara de que / R fuera "no pertenece", (pero de todas maneras siempre vale 0 en la segunda forma de f(x), siendo entonces continua en x=0.).Al otro conjunto lo menciono cuando digo: "y por otro lado, en la otra función, f(x) siempre vale 0 (por ende en 0 vale 0 y los límites laterales también valdrán 0)."Espero que Elsa comente y nos haga salir de la duda. - Norberto Pesce
Me parece que tu respuesta, Norberto, es la más lógica, y con respecto a "/R" tambien creo que tiene que ver con "no pertenece", sin embargo, el archivo que ha subido el docente no se distingue bien si tiene o no el "/", la imagen que he subido la he elaborado yo con lo que traté de recuperar del archivo. Gracias por contestar! - Elsa Concha P.
Gracias por tu comentario. - Norberto Pesce
Cuando digo "No lo mencionas" me refiero a que no indicas lo que es R, y si "/" significa "no pertenece" entonces ¿qué número no pertenece a R, si R fuese el conjunto de los números reales? En ese caso hablaríamos o bien de funciones sobre los números complejos o bien R no es el conjunto de los números reales.Ahora qué sucedería si R fuese el conjunto de números Racionales y el de abajo, obvio, sería el de los irracionales, será acaso f continua en x = 0. Pues yo creo que NO. Véase la función popcorn - Karl Mat
Función popcorn: https://loshijosdelagrange.wordpress.com/2012/09/03/funcion-de-dirichlet-y-popcorn/ - Karl Mat
Es verdad lo que dices, Karl. Como dije anteriormente tomé al segundo conjunto (independientemente del que fuera) como: "siempre es igual a 0" tal como está expresado en el enunciado. - Norberto Pesce
Respecto a lo que indicas de los números racionales, analicemos las dos propuestas de la Función a trozos del enunciado: x si x=R (tomemos como R=Racional): y dejando de lado que 0 no es un número (porque no cumple con la teoría de números: al no ser´válido: a*0=0 / 0/0=a) sino una expresión filosófica de la nada, y tomando en forma práctica que √0=0, queda entendido que f(0)=0. No tiene límiites laterales en los racionales dado que a la izquierda es negativo y no están definidas en los Reales las raíces pares para los negativos, ni a la derecha porque el primer racional a la derecha de 0 es 1 (y tenemos infinitos números entre 0 y 1) - Norberto Pesce
Para el segundo trozo de la función, la entiendo como "0 para todo x irracional", que no está definida para x=0, pero sí vale 0 en el entorno reducido de 0, porque en su entorno reducido se trata de f(irracional)=0. RESUMIENDO.: 1) Está definida en x=0 (porque vale 0 por el primer trozo); 2) Tiene límites laterales (porque en el segundo trozo están definidos y valen 0); 3) El valor y el límite en 0 tienen el mismo valor (0); ERGO : esta función definida con estos dos trozos es continua en x=0. (No se trata de la función Popcorn...) - Norberto Pesce
Gracias por tus muy buenos aportes, Karl. Este intercambio da valor agregado al foro. - Norberto Pesce
En realidad la función susodicha es una variación de una popcorn, que en este caso solo es continua en los números irracionales, entonces la pregunta es ¿0 es irracional? El problema es que entre 0 y a (racional o irracional) siempre hay otro número (irracional o racional respectivamente) lo que hace que el entorno de f(0) sea indeterminado. - Karl Mat
Pongamos que e>0 sea un infinitésimo entonces se sabe que existe un e1 racional tal que 0 < e1 < e, entonces todos los e_i racionales tales que 0 < e_i < e son puntos de discontinuidad. - Karl Mat
Salvando las controversias respecto a 0, como yo lo he tomado √0=0, sería racional, dando existencia a la función en x=0, por el primer trozo. Lo del límite tendiendo a 0, dado por el segundo trozo, el límite existe para cualquier h que consideremos (0.1 no es racional pero 0.01 si, y así sucesivamente); pero de todas formas siempre f(x) para x->0 sería 0 (por racional, por el primer trozo, o por irracional, por el segundo trozo). Si es indeterminado si es racional o irracional (es decir, si corresponde al primer o segundo trozo de la función): si es irracional, f(x)=0; si es racional, según el primer trozo, f(x->0) tiende a 0, con lo que el límite siempre es o tiende a 0. - Norberto Pesce
Podríamos darle un agregado tal vez cómico aunque real: si: f(0.01), (racional) = 0.1; f(0.1), (irracional)=0: al alejarse de 0, ¿el límite se acerca a 0? Lo dejo a los teóricos... - Norberto Pesce
Creo que tu último comentario, que acabo de ver, se refiere justamente a esto. - Norberto Pesce
Veamos ahora esto... supongamos que la función f sea continua en 0, eso quiere decir que existe un entorno U(0;e) , con e>0 tal que f(U(0,e)) = 0 ¿verdad? Sin embargo en el intervalo (-e,e) hay muchos números racionales diferentes de 0, en particular e1 está (-e,e) donde e1 es racional no nulo por ende f(e1) = e1 lo que entraría en contradicción que f(U(0,e)) = 0, o sea f no es continua en 0. - Karl Mat
Pero f(e1) con e1 racional tiende a 0 cuando más nos aproximamos a 0, ya sea por derecha o izquierda, siendo consistente con la definición de límite. - Norberto Pesce
Ahora sí con esto si ya... Sigamos en esa suposición que R es el conjunto de los racionales y /R el de los irracionales, hay algo que me di cuenta que la imagen de f es el conjunto de los números racionales, gracias a G. Cantor sabemos que los números racionales son numerables y por ende no son continuos, es decir que f no es continua sobre los números racionales o sea no es continua en 0. - Karl Mat
Mira Norberto, por ejemplo sea j un número irracional sobre el eje Y, este elemento j no tiene preimagen (sobre el eje X), o sea que muchos de los números irracionales cercanos a 0 (sobre el eje Y) no tienen preimagen (sobre el eje X). - Karl Mat
Me di cuenta que está mal lo que dije 3 párrafos arriba (sobre mis comentarios) ya que me enfoqué en la definición por entornos, estoy seguro que no puedo utilizar esa definición aquí. Mi craso error fue decir que f(U(0,e))=0, no es así sino en realidad que f(U(0,e)) está incluido en cierto W entorno, pero esto no me sirve ya que los entornos son continuos por si mismos, mas la imagen de f no forma un conjunto continuo ya que son solo números racionales. - Karl Mat
Los puntos que mencionas sobre continuidad son correctos, lo que no cumple mi ejemplo [sobre que R es racional y bla bla] son los puntos (2) y (3) - Karl Mat
Gracias a tus muy buenos conocimientos he podido aprender algunas cosas: ten en cuenta que soy un aficionado a las Matemáticas, y mi profesión es Médico. - Norberto Pesce
Igual yo, soy un aficionado (desafortunadamente o no tal vez) cosas del destino, pero me encantan las matemáticas, apunto a ser un profesional pero más adelante cuando el bolsillo lo permita. Bueno Norberto, le felicito pues por dar su granito de aporte en este foro, siga así ... como el método dice para probar algunas cosas hay que ir por la reducción al absurdo. - Karl Mat