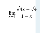
CálculoFísicaÁlgebra Andrea Pulido el 20 mar. 18 Los ejercicios Principio de sustitución...Principio de sustitución Principio de sustitución... Seguir Siguiendo Dejar de seguir 1 respuesta Respuesta de Norberto Pesce 0 0 Norberto Pesce, Todo ser tiene valor por el sólo hecho de ser y merece respeto. Si hacemos una sustitución directa queda una indefinición 0/0, por lo que primero factorizamos el numerador:[√4 (√x - 1) / (1-x)]; también operamos en el denominador:Operamos en √4: 2;[2 (√x-1)] / [(1+√x)*(1-√x)]; Si multiplicamos por (-1) el numerador debemos invertir en el paréntesis:[(-2)(1-√x)] / [(1+√x)*(1-√x)]; simplifico:(-2) / (1+√x); ahora sí aplico sustitución de x por 1:(-2) / (1+√1);-2/2;### (-1) , es tu límite. el 21 mar. 18 - Anónimo ahora mismo Añadir comentario Usa los comentarios si quieres aportar algo a esta respuesta. No los utilices para preguntar algo nuevo. Cancelar Enviar