Preguntas esperando respuesta
Actividad pública reciente
Ha preguntado en el tema en
Matemáticas
y en 3 temas más
Construir el espacio muestral a partir de jugar un numero de 2 cifras

Sin respuestas
Ha preguntado en el tema en
Matemáticas
y en 2 temas más
Los ejercicios asignados para el desarrollo ...Calcular las siguientes derivadas de orden superior.
Calcular las siguientes derivadas de orden superior. F(x)=10x^4-8x+7 Calcular las siguientes derivadas de orden superior.
Ha empezado a seguir el tema Profesores
Ha empezado a seguir el tema Cálculo
Ha empezado a seguir el tema Matemáticas
Ha empezado a seguir el tema Ingeniería Industrial
Ha empezado a seguir el tema Física
Ha empezado a seguir a
Ha preguntado en el tema en
Matemáticas
y en 2 temas más
A continuación se presentan los ejercicios asignados para el desarrollo Derivadas Implícitas: Calcular dy/dx
A continuación se presentan los ejercicios asignados para el desarrollo Derivadas Implícitas: Calcular dy/dx: 4yx^2+4xy^2=-16
Sin respuestas
Ha preguntado en el tema en
Matemáticas
y en 3 temas más
Aplicando los conceptos de la derivación calcular las siguientes derivadas...
Aplicando los conceptos de la derivación calcular las siguientes derivadas... F(x)=(x^2+2)/(x^3-3x+8) Aplicando los conceptos de la derivación calcular las siguientes...
Sin respuestas
Ha preguntado en el tema en
Matemáticas
y en 2 temas más
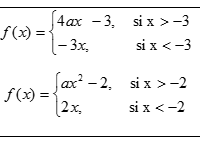
Los ejercicios asignados para el desarrollo Función a Trozos Geogebra.Función a Trozos Geogebra.
Sin respuestas
Ha preguntado en el tema en
Matemáticas
y en 2 temas más
Desarrollo Límites de funciones trigonométricas
Los ejercicios asignados para el desarrollo de Límites de funciones trigonométricas..
Ha preguntado en el tema en
Matemáticas
y en 2 temas más
El desarrollo Límites al infinito
Los ejercicios asignados para el desarrollo Límites al infinito.
Sin respuestas
Ha preguntado en el tema en
Matemáticas
y en 3 temas más
El desarrollo en Forma indeterminada...Forma indeterminada.
A continuación se presentan los ejercicios asignados para el desarrollo (Forma indeterminada)
Sin respuestas
Ha preguntado en el tema en
Cálculo
y en 2 temas más
Los ejercicios Principio de sustitución...Principio de sustitución
Principio de sustitución...
Ha preguntado en el tema en
Matemáticas
y en 2 temas más
Demuestre que el conjunto formado por los vectores de R^2, constituyes un Espacio vectorial...
Demuestre que el conjunto formado por los vectores de, constituyes un Espacio vectorial. Nota: Muestre que cada uno de los axiomas se satisface Demuestre que el conjunto formado por los vectores de, constituyes un Espacio vectorial. Nota: Muestre que...
Sin respuestas