Encuentre el orden de las siguientes ecuaciones
Cálculo
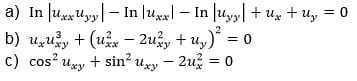
Encuentre el orden de las siguientes ecuaciones diferenciales parciales

1 respuesta
Respuesta de Norberto Pesce
1
