Hallar la ecuación de la recta que pasa por el punto
Funciones vectoriales
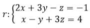
Hallar la ecuación de la recta que pasa por el punto P(1,2,3) y es paralela a la recta:

1 respuesta
Respuesta de Norberto Pesce
2
