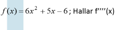
Calcula las siguientes derivadas de orden superior.

Resolver el siguiente ejercicio sobre derivadas y su orden segun la teoria
1 respuesta
Respuesta de albert buscapolos Ing°
1