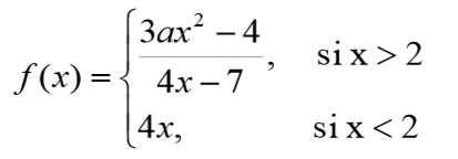
Encontrar los valores de (a) que hace que la función a trozos sea continua en una función trigonometrica?

¿Resolver el siguiente ejercicio de funciones en calculo diferencial?
Respuesta
1
2 respuestas más de otros expertos
Respuesta de Santiago Seeker
1
Respuesta de Lucas m
1
