Preguntas esperando respuesta
Actividad pública reciente
Ha preguntado en el tema en
Matemáticas
y en 1 temas más
Hallar las masas totales de las siguiente láminas:
1. Hallar la masa total de una lámina cuadrada de lado $\alpha$, si la densidad de la lámina en un punto P de ella es proporcional al cuadrado de la distancia entre P y el centro de la lámina, siendo en cada uno de sus vértices igual a k. 2. Hallar...
Sin respuestas
Ha respondido en
Matemáticas
y en 2 temas más
Utilice el método de los multiplicadores de Lagrange para encontrar los extremos con restriciones de la función dada.
Podrías tal vez publicar tu pregunta en la página brainly. Lat y me mandas el link de la publicación por favor, es que ahí si puedo explicártelo mejor.
Ha empezado a seguir a
Ha respondido en
Matemáticas
y en 3 temas más
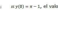
Quien puede hallar aproximadamente el valor (ecuación diferencial)
Ha respondido en
Matemáticas
¿Como demostrar por inducción matemática el siguiente ejercicio?
Ha respondido en
Matemáticas
Escriba el vector w=(1,1,1) como una combinación lineal de vectores en el conjunto: S{(1,2,3),(0,1,2),(-1,0,1)}
POdrías publicar tu ejercicio en la página brainly. Lat para poder explicáterlo mejor... me pasas el link de la publicación
Ha respondido en
Matemáticas
y en 3 temas más
¿Cuál es el conjunto de convergencia absoluta y el radio de convergencia de la siguiente serie?
Ha respondido en
Matemáticas
y en 3 temas más
Quien puede resolver ejercicio referente a ecuaciones
Ha respondido en
Matemáticas
y en 1 temas más
Aplicación de mínimos y máximos relativos
Bien, para el primero, establezcamos los dos números reales con los que vamos a trabajar, por ejemplo quis (x)y ye (y), además nos dice que se cumpla que, y también que exista una función que represente el producto, es decir, de la primera ecuación...
Ha respondido en
Matemáticas
y en 1 temas más
Derivar la función 3/x^2+1 aplicando el concepto o definición de derivada.
y es todo
Ha respondido en
Matemáticas
y en 3 temas más
Como se resuelven ejercicios de integrales
Podemos considerar una sustitución, u=1-x derivando du=-dx entonces dx=-du, puedes cambiar los límties de integración o dejarlos así y al final volver a la variable original, entonces, como no cambiamos los límties d eintegración debemos volver a la...
Ha respondido en
Química
¿Cómo balanceo esta ecuacion? NaHCO3 + C6H8O7 ----> CO2 + H2O + Na3C6H5O7
Podrías hacerlo por tanteo, está fácil, no sé si te gustaría intentarlo hacer... primero mira cuántos sodios tienes de cada lado... en el lado de los productos tienes 3 y en los reativos 1, entonces pongamos un 3 grandote en, con éste tres, ya...
Ha respondido en
Física
y en 2 temas más
Ejercicio 2 solución de temas de dinámica y energía
Ha respondido en
Matemáticas
y en 2 temas más
Análisis de limites y continuidad, EJERCICIOS FASE 1 – momento4
Ha respondido en
Matemáticas
y en 3 temas más



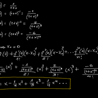
Error en una serie de Taylor