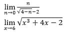
Hallar los límites utilizando tablas de valores
Necesito resolver estos 2 ejercicios con tablas de valores.
Agradezco la colaboración prestada.

Respuesta de Moises Zarraga
1

