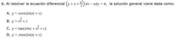
Al resolver la ecuación diferencial (?+?+?2/?)?−?=0, la solución general viene dada como:
Me plantean el siguiente ejercicio.
Me pueden ayudar a resolverlo.
Gracias.

1 respuesta
Respuesta de Lucas m
2