Como lograr resolver progresiones geométricas?
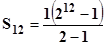
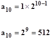
¿Cuál es la razón de una progresión geométrica de 12 términos, siendo el primero 1 y el último 2048? ¿Cuál será la suma de los términos de esta progresión, y cuál el décimo término?
1 respuesta
Respuesta de Luis Alberto Candio Salcedo
1


