Como resolver problemas Progresiones Aritméticas y Geométricas.
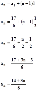
1. Encuentre el primer término de una progresión cuya diferencia común es 1/2 y la suma de sus tres primeros términos es 10. Adicional mente, plantee el término general.
2. ¿Cuál es la razón de una progresión geométrica de 12 términos, siendo el primero 1 y el último 2048? ¿Cuál será la suma de los términos de esta progresión, y cuál el décimo término?
1 Respuesta
Respuesta de Luis Alberto Candio Salcedo
1


