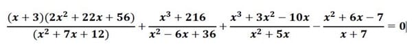
Determine el valor de la variable por en la siguiente ecuación

Hola necesito ayuda con esta ecuación, Determine el valor de la variable por en la siguiente ecuación
Respuesta de Valero Angel Serrano Mercadal
1
1 respuesta más de otro experto
Respuesta de Lucas m
1