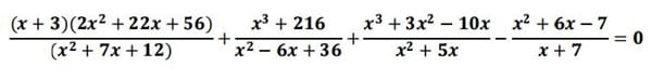
Determine el valor de la variable por en la siguiente ecuación y compruebe su solución
Agardezco la colaboracion Determinando el valor de la variable por en la siguiente ecuación y compruebe su solución:

Respuesta de Lucas m
1
2 respuestas más de otros expertos
Respuesta de Valero Angel Serrano Mercadal
1
Respuesta
1


