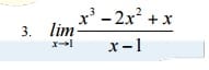
Evaluar el siguiente limite desarrollando paso a paso las operaciones

Buenas tardes amigos de todo expertos como menciones en los anteriores es importante conocer que operaciones se aplican para resolverlo hacer una pequeña descripción en cada paso para saber que operación se realiza
2 respuestas
Respuesta de Lucas m
1
Respuesta de Valero Angel Serrano Mercadal
1