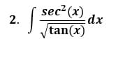
Trabajo de calculo integral resolver paso a paso esta integral

Buenos días espero su ayuda para resolver mi trabajo de calculo
2 respuestas
Respuesta de Lucas m
1
Respuesta de Valero Angel Serrano Mercadal
1